AP生物知识点速览
1. 生物内的化学 Chemistry in Life
化学基础 Chemical Basis
原子 Atoms
生物体内常见原子:
- 常见:O, C, H, N
- 较少:Ca, P, K, S, Na, Cl, Mg
- 微量:B, Cr, Co, Cu, F, I, Fe, Mn, Mo, Se, Si, Sn, V, Zn
生物分子中的原子:
- 脂肪酸:C, H, O
- 磷脂:C, H, O, N, P
- 蛋白质:C, H, N, O, S
- 核酸:C, H, N, O, P
!生物中常用的检测方法:使用某元素的同位素对于一些生命分子进行标记,进而实现 ”追踪“ 功能
化学键 Chemical Bonds
离子键:细胞内少见,主要是细胞外 和
共价键:极性共价键( 或 );非极性共价键( 或 )
脱水缩合 Dehydration()
水解 Hydrolysis()
金属键:少见
氢键:生物大分子结构(DNA 双螺旋、蛋白质二级结构)中极其重要
热力学 Chemical Thermodynamics
简单知道即可:
焓
- 放热反应 exothermic reaction
- 吸热反应 endothermic reaction
自由能
- 自发反应 spontaneous reaction
- 非自发反应 non-spontaneous reaction
氧化还原 Redox Reaction
A 被氧化 = A 丢电子;A 被还原 = A 得电子
水(浓度,渗透) Water (Concentration, Osmolarity)
O–H 键形成氢键 -> 水具有高比热、高表面张力和良好的溶剂特性
半透膜:水分子能通过;(往往)溶于水的粒子能通过;不溶于水的不能通过
核心:尽量保证浓度均匀(无论是水还是溶剂移动,目的都是这个)
渗透压 (Osmotic / Turgor Pressure)
- 低渗 Hypotonic:相比细胞来说,环境的浓度低,因此溶液里的水进入细胞,细胞被撑大
- 等渗 Isotonic:相比细胞来说,环境的浓度与细胞相同,因此水的进出基本相等,细胞不变
- 高渗 Hypertonic:相比细胞来说,环境的浓度高,因此细胞里的水进入溶液,细胞被吸瘪
缓冲作用: 缓冲系统 维持生理 pH(7.4)
生物分子 Biomolecules
脂 Lipid
名称 示意图 性质 作用 脂肪酸
Fatty Acid
疏水
Hydrophobic长期储存能量 甘油三酯
Triglyceride
疏水
Hydrophobic长期储存能量 磷脂
Phospholipid
两亲性
Amphiphilic
Head亲水
Tail疏水细胞膜基本构件
在水环境中自发
形成 Liposome
对于细胞的截面
是 Bilayer Sheet类固醇
Steroid
疏水
Hydrophobic在细胞膜中
类固醇降低流动性
一般3~4个碳环糖 Sugar / Saccharide
作用:短期储存能量,随存随取(你们家的钱包)
分类:
单糖 Monosaccharide
名称 示意图 葡萄糖 Glucose 
果糖 Fructose 
半乳糖 Galactose 
(脱氧)核糖 (deoxy-) Ribose 
双糖 Disaccharide(加号+ 指的是脱水缩合)
名称 示意图 结构 位置 乳糖
Lactose
Galactose + Glucose 动物体内 麦芽糖
Maltose
Glucose + Glucose 植物体内 蔗糖
Sucrose
Glucose + Fructose 植物体内 多糖 Polysaccharide
名称 示意图 / 结构 位置 / 性质 纤维素
Cellulose
植物细胞壁
提供支撑与抗压淀粉
Starch
植物细胞
储存能量糖原
Glycogen
动物体内
储存能量
快速分解供应糖几丁质
Chitin
真菌细胞壁
节肢动物外骨骼
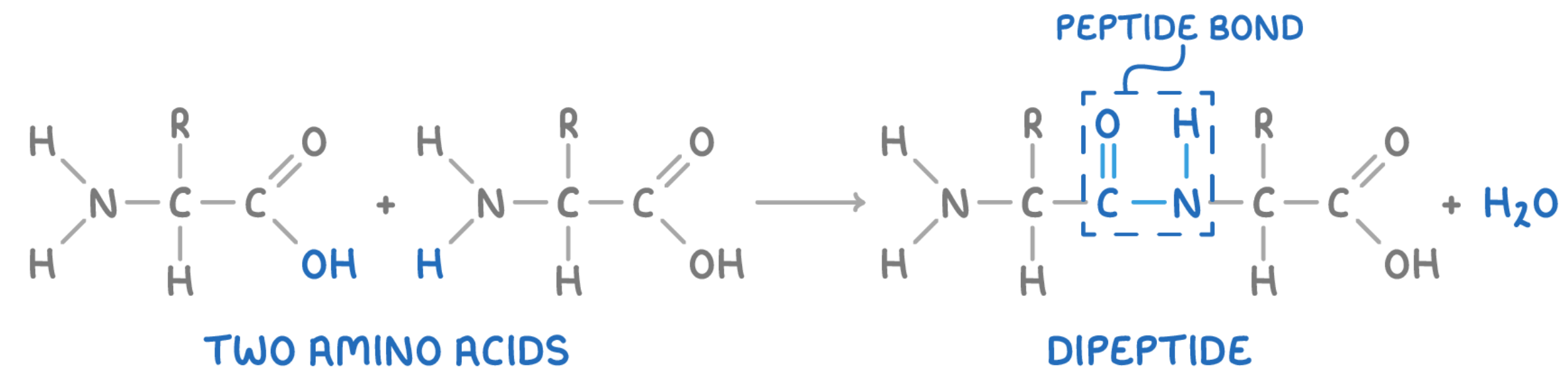
蛋白质 Protein

依靠脱水缩合形成 Peptide Bond

蛋白质结构层级:
Ⅰ级 Primary Structure:氨基酸序列 amino acid sequence
Ⅱ级 Secondary Structure:主要依靠碳骨架的结构折叠(;)
Ⅲ级 Tertiary Structure:主要依靠 R-group 的结构折叠
Ⅳ级 Quaternary Structure:多肽链(如血红蛋白)
作用:酶催化反应、结构支撑(如胶原)、运输(血红蛋白)、信号(激素与受体)
核酸 Nucleic Acid

DNA: Base -> A/T/C/G; Sugar -> Deoxyribose
RNA: Base -> A/U/C/G; Sugar -> Ribose
互补碱基配对 Complementary Base Paring Rule: A-T (或A-U), C-G; CG三键更牢固

DNA:双螺旋、反向平行
RNA:单链,功能多样(mRNA: 跨膜转录传输;tRNA: 识别codon携带氨基酸;rRNA: 组成核糖体催化表达;siRNA / miRNA: mRNA降解或调控表达量)
酶 Enzyme
酶基本上都是蛋白质,降低反应活化能
AP考点中对于酶的调控一般分为两种:
- 竞争性抑制 Competitive Inhibition:抑制剂(Inhibitor)与底物(Substrate)竞争结合位点(Binding Site)
- 非竞争性抑制 Non-competitive Inhibition:抑制剂结合酶的别构位点(Allosteric Site),改变酶的结构,进而对于底物的亲和性
环境对于酶的影响:温度、pH(这两个比较显著,也比较常考)
2. 细胞器 Cell Organelle
总览图:

细胞膜 / 细胞壁 Cell Membrane / Cell Wall (Cell Wall 主要由纤维素构成,知道即可)

磷脂双分子层 Phospholipid Bilayer(两层磷脂分子:亲水头朝外,疏水尾朝内;需知流动性)
蛋白质 Protein(作用比较多:运输(常考,重要);结构支撑;信号识别/传导;细胞-细胞识别)

Passive Transport(顺浓度梯度)
Simple Diffusion(直接穿过细胞膜):uncharged 非极性小粒子(, , etc.)
Facilitated Diffusion(需要蛋白辅助):非极性大分子 / 极性小分子
- Aquaporins(开通道):水 Water
- Ion Channel Protein(开通道):离子 Ion
- Carrier Protein(每次通过一个):碳水 Carbohydrate;氨基酸 Amino Acid;核苷酸 Nucleotide……
Active Transport(逆浓度梯度):需要消耗能量(往往 ATP水解 提供大量 吉布斯自由能 )
Bulk-Transport:使用 Vesicle 囊泡传输大分子、蛋白、或片段遗传物质;囊泡直接融入细胞膜
- Endocytosis 胞吞
- Exocytosis 胞吐
胆固醇 Cholesterol(++膜的稳定性;一定程度上防止 极端温度 的伤害)
细胞器 Organelle
细胞分层:细胞膜 Membrane;细胞质 Cytosol;细胞核 Nucleus(真核)/ 拟核 Nucleoid(原核)
| 名称 | 示意图 | 刷新范围 | 结构 | 功能 | 重要考点 |
|---|---|---|---|---|---|
| 核糖体 Ribosome | ![]() | 真核 细胞质 原核 细胞质 | rRNA 蛋白 | mRNA翻译 蛋白质合成 | 中心法则 翻译过程 |
| 染色质 Chromatin | ![]() | 真核 细胞核 原核 拟核 | DNA 组蛋白 | 携带遗传信息 基因调控 | 染色体结构 DNA 复制 有丝分裂 |
| 囊泡 Vesicle | ![]() | 真核 细胞质 | 磷脂双分子层 | 运输物质 | 胞吞 Endocytosis 胞吐 Exocytosis ER–Golgi Apparatus 运输 |
| 内质网 Endoplasmic Reticulum (ER) | ![]() | 真核 细胞核外 | 扁平膜囊网 粗面有核糖体 | rough ER(rER): 翻译;蛋白质生成 smooth ER(sER): 脂肪生成 | 中心法则 翻译位置 mature mRNA 位置 |
| 高尔基体 Golgi Apparatus | ![]() | 真核 细胞质 | 扁平叠层 囊泡 | 加工、修饰 蛋白质 | 蛋白质路线 |
| 溶酶体 Lysosome | ![]() | 真核 细胞质 动物 | 含消化酶 的单层膜 | 分解大分子 清除损伤细胞器 | 细胞自噬 废物位置 pH 对酶活性 的影响 |
| 线粒体 Mitochondria | ![]() | 真核 细胞质 | 双层膜 基质 | 细胞呼吸 (ATP 生成) | 有氧呼吸 各阶段的 位置与产物 |
| 中心体 Centrosome | ![]() | 真核 细胞质 动物 | 一对中心粒 周围微管 | 主导细胞 分裂的方向 | 有丝分裂 纺锤体形成 |
| 中心粒 Centriole | ![]() | 真核 细胞质 动物 | 微管三联体 筒状结构 | 复制形成 中心体 | 细胞分裂 |
| 微管 Microtubule | ![]() | 真核 细胞质 | 由 α/β-微管 蛋白二聚体 组成,管状 | 细胞结构支撑 细胞器运输 纺锤体 | 细胞骨架 物质运输 |
| 核膜 Nuclear Membrane | ![]() | 真核 细胞核 | 双层膜 核孔蛋白 | 物质进出控制 维持核内环境 | 核孔 Nuclear Pore 运输 |
| 核仁 Nucleolus | ![]() | 真核 细胞核 | rRNA 蛋白质 | 核糖体 合成 | 核糖体 合成 |
| 液泡 Vacuole | ![]() | 真核 细胞质 植物 | 大型单层膜囊 含细胞液 | 储存水分、溶质 维持植物细胞结构 | 植物细胞 结构支撑 渗透调节 |
| 叶绿体 Chloroplast | ![]() | 真核 细胞质 植物 | 双层膜 stroma granum (很多 thylakoid) | 光合作用 | 光合作用 光反应 / 暗反应 位置与产物 |
| 纤毛 / 鞭毛 Cilium/Flagellum | ![]() | 原核 | 蛋白质 / 鞭毛丝 | 运动 | 细胞运动方式 原核运动器官 |
| 质粒 Plasmid | ![]() | 原核 细胞质 | 小型环状 DNA | 携带特定基因 水平基因转移 | 真核/原核区分 水平基因转移 基因工程应用 |
3. 细胞功能 Cell Functions
细胞通讯 Cell Communication
细胞内信息接收步骤 Signal Reception Procedure

接受 Signal Reception
GPCR

RTKinase

传导 Signal Transduction: 、、 等小分子传递信号
反应 Cellular Response:不需要知道细节,一般形式是调控基因的表达
细胞间通讯方式 Cell-to-cell Communication
直接接触 Direct Contact

短距离 Short Distance

- 旁分泌 Paracrine:分泌信号分子,周围细胞表面的接收器可以探测到
- 自分泌 Autocrine:分泌信号分子,自己细胞表面的接收器可以探测到(常用于负反馈机制)
长距离 Long Distance

- 内分泌 Endocrine
中心法则 Central Dogma

DNA复制 DNA Replication
Initiation(Unzip)
Helicase 解旋酶:解开 Nitrogenous Base 之间的氢键,将两条 DNA 链拆开,创建 Replication Fork
Primase 引物酶:加入 RNA Primer,启动 Elongation
Topoisomerase 拓扑异构酶:让 DNA 链放松,不要卷起来
Single-strand Binding Protein 单链结合蛋白:stabilize single-strand DNA
Elongation(加在 3’ 端)
DNA Polymerase 往 Leading Strand 上加入更多的 DNA Nucleotides(与 DNA 复制方向同向);一段一段往 Lagging Strand 上加(与 DNA 复制方向反向,因此每一段 elongation 前需要 Primase 先加入 RNA Nucleotide 组成的 RNA Primer)
Termination
Ligase 将 lagging strand上断断续续的片段 的 backbone 连上
DNA Polymerase 将 RNA Primer 替换成 DNA Nucleotides
DNA表达 DNA Expression
Transcription 转录(DNA -> pre-mRNA)
Initiation
启动子 Promotor;转录因子 Transcription Factors (TFs);RNA Polymerase RNA 聚合酶
这三者都识别并结合在 DNA 双链,定位转录起点 【原核基本只识别 operon 操纵子 而不是很多 TF 】
!原核的 operon 常见:
lac operon

- 乳糖的摄取和分解(不重要)
- 默认关闭,可诱导(使用 Allolactose 抑制 抑制剂)
trp operon

- 色氨酸合成(不重要)
- 默认开启,可抑制(使用 Tryptophan 激活 抑制剂)
Elongation
RNA Polymerase 以 DNA 模板链为模板,从 5′→3′ 端转录,合成 pre-mRNA
Termination
识别终止信号,RNA 聚合酶 脱离,释放 pre-mRNA
Processing 加工(pre-mRNA -> mature mRNA)【只有真核有这个过程!】

- 加 5' Cap(+稳定性)
- 加 3′ Poly-A tail(+稳定性)
- Splicing:使用 Spliceosome 切除内含子,拼接外显子(不同剪切方式会使得同样的 pre-mRNA 变成不同的 mature mRNA,进而产生不同的蛋白)
Translation 翻译(mature mRMA -> 蛋白)

在 rER 上,mature mRNA 进入 Ribosome 进行翻译;tRNA 携带着 codon 对应的氨基酸辅助翻译
扩展 Further:某些情况下,RNA 可能也可以作为遗传物质进行复制;同时一些逆转录病毒 retrovirus 会将 RNA 逆转录为 DNA,再插入宿主体内(如 HIV)
细胞周期 Cell Cycle

期:细胞生长,一些细胞器增生,为 遗传物质 复制做准备
期:遗传物质 复制
期:细胞继续生长,其余细胞器增生,为细胞分裂做准备
期:细胞进行 有丝分裂 或 减数分裂
期:细胞进入间期(休息区),不行动
有丝分裂 Mitosis
阶段 主要行为 Prophase - 遗传物质 凝缩成 染色体 (chromosome)
- 核膜 (nuclear envelope) 消失
- 纺锤体 (spindle apparatus) 形成
- 中心体 (centrosome) 向细胞两极移动Metaphase - 染色体 排列在 赤道板 (equator) 上
- 纺锤丝 (spindle fibers) 与 染色体 上的 中心粒 (centromere) 相连Anaphase - 姐妹染色单体 (chromatid) 被扯开成为 独立染色体
- 姐妹染色单体 (sister chromatid) 被拉向两极Telophase - 染色体 重新变回 染色质
- 核膜 重新生成
- 纺锤体 解体Cytokinesis - 动物细胞 出现 收缩环
- 植物细胞 形成 细胞板
细胞被分隔形成两个子细胞减数分裂 Meiosis
阶段 主要行为 Prophase I - 遗传物质 凝缩成 染色体 (chromosome)
- 核膜 (nuclear envelope) 消失
- 纺锤体 (spindle apparatus) 形成
- 中心体 (centrosome) 向细胞两极移动
- Cross Over 发生,引入基因多样性Metaphase I - 染色体 排列在 赤道板 (equator) 上
- 纺锤丝 (spindle fibers) 与 染色体 上的 中心粒 (centromere) 相连Anaphase I - 同源染色体 (homologous chromatid) 被扯开成为 独立染色体
- 染色体 被拉向两极Telophase I - 染色体 重新变回 染色质
- 核膜 重新生成
- 纺锤体 解体Cytokinesis I - 动物细胞 出现 收缩环
- 植物细胞 形成 细胞板
细胞被分隔形成两个子细胞Meiosis II 步骤与 Mitosis I 完全相同,基本参照即可。
细胞呼吸 Cellular Respiration
有氧呼吸 Aerobic Respiration(效率高,每葡萄糖 30~32个 ATP)
Glycolysis @cytosol

Pyruvate Oxidation @mitochondria matrix

Citric Acid Cycle (Krebs Cycle) @mitochondria matrix

Oxidative Phosphorylation (ETC) @mitochondria inner membrane(26~28个 ATP)

无氧发酵 Anerobic Respiration(效率低,每葡萄糖 2个 ATP)

光合作用 Photosynthesis
总览图:

Calvin Cycle (Dark Reaction) 的过程不需要知道,题目会给材料
ETC in Photosynthesis (Light Reaction):

4. 细胞种类 Cell Types
病毒 vs 原核细胞 vs 真核细胞 Virus vs Prokaryote vs Eukaryote
Virus Prokaryote Eukaryote Living Status Obligate Parasite Independent Living Independent Living Cell Boundary Protein Coat Phospholipid Bilayer
Some cell wallPhospholipid Bilayer
+ Cholesterol (animal)
+ Cell Wall (plants, fungi)Genetic Material DNA / RNA Single circular dsDNA Multiple linear dsDNA chromosomes Nucleus None Nucleoid 拟核 with Nuclear Membrane Organelles None No membrane‐bound organelles Multiple membrane‐bound organelles Reproductive Strategy Hijacking Host Cell Binary Fission Mitosis & Meiosis 植物细胞 vs 动物细胞 Plant Cell vs Animal Cell
植物细胞 动物细胞 Cell Boundary Cell wall (cellulose) outside
the plasma membranePlasma membrane only Shape Generally fixed
rectangular / polygonalVariable
round / irregularChloroplasts Vacuole One large central vacuole
(maintain turgor pressure, storage)Multiple small vacuoles or vesicles Energy Storage Starch 淀粉 Glycogen 糖原 Cell Division 

人类细胞 Human Cell
神经细胞(重要)Nerve Cell



免疫细胞 & 配子(有点重要,大概知道即可)Immune Cell & Gamete
免疫细胞:
- 先天性免疫:巨噬细胞 Macrophages;中性粒细胞 Neutrophil【接触式杀死】
- 后天性免疫:B-cell 分泌抗体,抗体结合到特定抗原上,吸引其他细胞来,只杀死标记过的细胞
肌肉细胞 & 脂肪细胞 & 血细胞(有概率考)Muscle Cell & Fat Cell & Blood Cell
- 血细胞:两个等位基因,隐形 I,共同显性 A,B(因此如果基因型为 I I,表型就是 O 型血;如果基因型为 AO ,表型就是 A 型血;如果基因型是 BA ,表型就是 AB 型血)
5. 宏观生物 Macro-Biology
分类学 Taxonomy
物种定义 Species Definition
"Two species cannot interbreed and cannot produce fertile, viable offspring."
Reproductive Barrier 繁殖屏障
- Prezygotic Barrier 物理原因不能交配
- Postzygotic Barrier 交配后胚胎不能正常发育
分类学名称系统 Taxonomic Naming
Domain 域;Kingdom 界;Phylum 门;Class 纲;Order 目;Family 科;Genus 属;Species 种
Homo Sapiens -> Genus & Species
进化树 Cladogram
每一个分支就是一个新物种的产生;每一个节点是一个共同祖先;新 trait 往往会写在线上
遗传学 Genetics
显性定律 Law of Dominance
- 杂合子中,表现型只出现显性性状,隐性性状被掩盖
- 例:紫花(A) 白花(a)→ 全紫花
分离定律 Law of Segregation
- 一对等位基因在配子中分离,随机进入不同配子
- 例: 杂合(Aa)自交 → 子代基因型 AA : Aa : aa = 1 : 2 : 1
自由组合定律 Law of Independent Assortment
- 不同基因对在配子形成时相互独立分配(前提:基因位于不同染色体或相距较远)
- 例:豌豆 RrYy 自交 → 四种表型 9 : 3 : 3 : 1
遗传病图谱 Pedigree:
详见用户 @采菜菜采 的投稿 判断基因疾病的特点
演化学 Evolution
生物的形成 The Formation of Life
"原始汤实验" Prebiotic Soup: Methane, Ammonia, Hydrogen and Water -> Life(知道即可)
演化定义 Evolution Definition
没有演化的定义:No Allele Frequency Change
!Hardy-Weinberg Equilibrium:
设某基因有两个 allele, 和 分别为这两种 allele 在群体中的比例(其中 )
若满足以下条件:(重要,需要记忆,没准要考 简答题或者选择题 考条件)
- Large Population
- Random Mating
- No Selection
- No Mutation
- No Geneflow
则 下一代的基因频率应为:;;(总和仍应等于 1,因为并没有筛选等能改变基因频率的因素)
!Evidence of Evolution(按照可信度降序)
遗传物质对比(直接证据)
化石(直接证据)
解剖学(间接证据)
- Homologous Structure:同样祖先,不同表型(不同的竞争压力,Divergent Evolution)
- Analogous Structure:不同祖先,同样表型(相同的竞争压力,Convergent Evolution)
胚胎发育(间接证据)
自然选择 Natural Selection

重要:自然选择只发生在一个 种群 中而不是一个 个体 上;同样,一个个体不可能进化,群体才能进化!
核心:个体因表型差异在生存和繁殖上具有不同成功率,从而使得适应度高的等位基因在后代中增多
四个要素:变异、遗传、过剩繁殖、非随机生存
注意:自然选择 和 人工选择 (Artificial Selection) 需要分开,自然选择 中没有人参与
基因变化 Genetic Variation
基因突变 Mutation:创建其他种基因(如:凭空创建出 彩色眼睛 的基因)
漂变 Genetic Drift
- Bottleneck Effect:随机事件(如:一阵陨石雨 恰好砸死了 世界上所有红眼睛的人)
- Founder Effect:“岛主” 效应(如:一群体育生旅游到了小岛上,并跟外界几乎没有交流,就这样繁衍几代成为了一个小社会,这个社会很有可能大部分的人身体素质都比较好,原因是 Founder 恰好有一些自身携带的特点,就成为了这个种群甚至是物种的根本)
迁徙 / 基因流动 Migration / Gene Flow
演化种类 Evolution Types
Convergent Evolution
- Different Genotype 不同基因型 + Same Phenotype 相同表型
- Similar Selective Pressure 相似的选择压力
Divergent Evolution
- Same Genotype 相同基因型 + Different Phenotype 不同表型
- Different Selective Pressure 不同的选择压力
!造成 不同选择压力 的地理原因分类:
- Allopatric 地理因素隔阂
- Sympatric 其他因素
生态学 Ecology
生态系统 Ecosystem
生态系统一般分为 Biotic Factors(生物因素)和 Abiotic Factors(环境因素)
Food Chain 食物链

箭头从 A 指向 B:A 被 B 吃
Trophic Level 营养层级 金字塔

在不同能级之间,物质循环 Matter Cycles(物质守恒),Energy Flows 能量流动
能量输入 基本都是由 太阳能 传给 Producers;在通过捕食的过程向上传递
传输过程中以热量的形式流失,每层的能量传输率约为 10%,即损失 90% 的能量
物种关系 Relationship Between Species
- Predation 捕食
- Competition 竞争
- Mutualism 互惠互利
- Parasitism 寄生(一方有利 一方有害)
- Commensalism 双方互不干涉
- Endosymbiosis(某种程度上算一种 Mutualism,如 线粒体 和 叶绿体 在原核细胞内)
概念梳理 Concepts
生态位 Niche

抽象概念,简单来说:The “role” or “job” a species performs within its ecosystem
J 型 / S 型 增长 J- or S-curve growth

上图中的 K 即为 carrying capacity 环境的最大承载量
所有自然界的增长几乎都是 S 型增长,因为资源终归有限
k 选择 / r 选择 k selection / r selection

本表简单有印象即可 R 选择 K 选择 # of offspring high low parental care low high reproductive maturity early late size of offspring small big independence at birth early late ability to learn low high life span short long early mortality high low 密度制约因素 / 非密度制约因素 Density Dependent Factor / Density Independent Factor
密度制约因素 往往与生物种群本身有关
- 种群内部竞争 Internal Competition
- 捕食 Predation
- 传染性疾病和寄生虫 Disease & Parasites
- 废物堆积 Waster Accumulation
非密度制约因素 往往与生物种群本身无关
- 山火 Wild Fire
- 小行星撞地球 Asteroid Impacts
- ……
"鼎石" 物种 Keystone Species
简单来说 很大的物种就是 Keystone Species(物种变化会导致很大的环境变化)
包括但不限于:
- 顶层 Apex Predator
- 所有 producer 算在一起 (注意!单个 producer 一般并不是,因为不吃苹果可以吃香蕉)
辛普森多样性指数 Simpson's Diversity Index(指数越高,该系统内物种越多样)
where
辛普森多样性指数 计算的是 在一个系统中任取两个个体,两个个体物种 不一样 的概率















